认知衰老,是指与年龄相关的认知功能障碍,包括整体记忆、执行功能、解决问题速度变慢等。随着年龄的增长,它是最常见的健康问题之一。早期研究显示,饮食是减少与年龄相关的认知能力下降的重要可改变因素。
蘑菇,营养丰富,富含蛋白质、膳食纤维、脂溶性维生素,以及二萜类化合物等。蘑菇的生物活性物质已被证明可作为抗炎剂,增加抗氧化酶的表达,促进神经发生,并调节突触信号级联和神经递质释放。
2024年1月25日,英国雷丁大学的研究人员在" Nutrients "期刊上发表了一篇题为" The Relationship between Mushroom Intake and Cognitive Performance:An Epidemiological Study in the European Investigation of Cancer-Norfolk Cohort(EPIC-Norfolk)"的研究论文。
该研究显示,经常食用蘑菇,减缓认知衰老,每天食用12克以上,与多个认知领域的较高得分相关。
在这项研究中,研究人员分析了一项多队列前瞻性研究欧洲癌症诺福克前瞻性调查(EPIC-Norfolk)中8623名参与者,通过问卷形式收集了参与者的饮食信息,并评估了一系列的认知表现,分析了蘑菇摄入量与认知能力的关联。
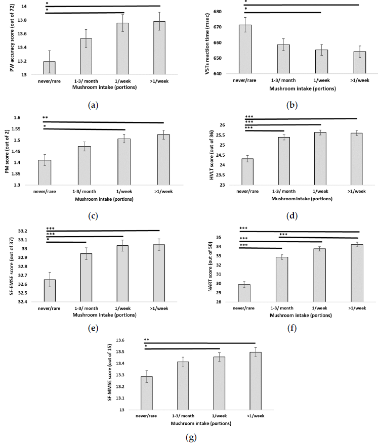
蘑菇的消费量分为4组:不吃或每月少于1份、每月1-3份、每周1份、每周超过1份。
研究发现,蘑菇摄入量与一系列认知表现呈正相关,每周超过1份(每天12克),与更好的情景记忆、前瞻性记忆、阅读能力、执行功能和处理速度有关。

此外,研究人员调整了水果和蔬菜摄入量,发现蘑菇摄入量仍然与更好的认知表现相关。
研究人员表示,这是一项横断面研究,无法建立蘑菇摄入量和认知能力改善之间的因果关系,还需要进行随机对照试验来确定。
对于其中的机制,研究指出,蘑菇富含纤维、抗炎和抗氧化物质,对认知健康非常有利。
值得一提的是,美国宾夕法尼亚州立大学的研究人员在" Advances in Nutrition "期刊上发表了一篇题为" Higher Mushroom Consumption Is Associated with Lower Risk of Cancer:A Systematic Review and Meta-Analysis of Observational Studies "的研究论文。
研究发现,较高的蘑菇摄入量与较低的总体癌症风险相关,与摄入******的人相比,蘑菇摄入******的人总体癌症风险降低34%,乳腺癌风险降低35%。
剂量分析发现,与不吃蘑菇的人相比,每天摄入18克蘑菇,与总体癌症风险降低45%相关。
论文链接:https://doi.org/10.3390/nu16030353
https://doi.org/10.1093/advances/nmab015
来源|医诺维
撰文 | 宋文法
本文转载自公众号:梅斯医学